Antenna information for TRM57971.00 NONE

GPS

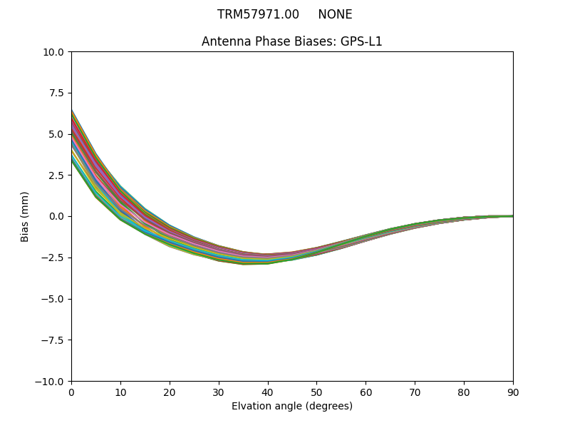
L1: N: 1.19 E: -0.34 U: 66.88
L2: N: -0.28 E: 0.81 U: 57.83

GPS Mean

GPS Mean

GPS L1


TRM57971.00     NONE GPS-L1
TRM57971.00     NONE GPS-L1
Radial TRM57971.00     NONE GPS-L1
Radial TRM57971.00     NONE GPS-L1

GPS L2


TRM57971.00     NONE GPS-L2
TRM57971.00     NONE GPS-L2
Radial TRM57971.00     NONE GPS-L2
Radial TRM57971.00     NONE GPS-L2