Antenna information for ITT3750323 SCIS

Antenna Offsets
SV System Bands

GPS

L1: N: 0.35 E: -0.65 U: 89.23
L2: N: 1.12 E: 0.28 U: 120.50

L1

GPS: N: 0.35 E: -0.65 U: 89.23

L2

GPS: N: 1.12 E: 0.28 U: 120.50


Means

GPS

ITT3750323______SCIS.GPS.MEAN.png

Azimuths

GPS


Bias Delta

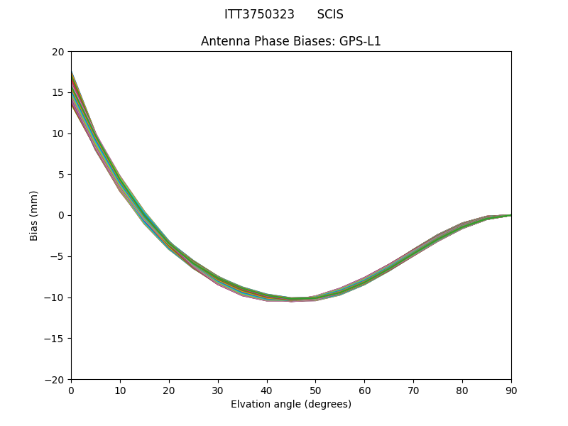
GPS-L1

GPS-L1GPS-L1
Radial GPS-L1Radial GPS-L1

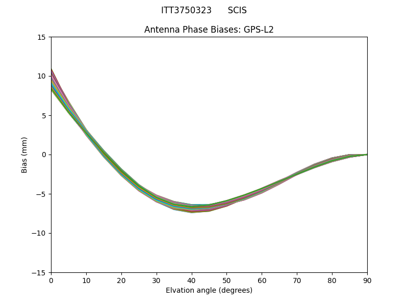
GPS-L2

GPS-L2GPS-L2
Radial GPS-L2Radial GPS-L2