Antenna information for TRM115000.00 TZGD
| SV System | Bands |
|---|---|
GPSL1: N: 0.63 E: -0.02 U: 64.43L2: N: 0.71 E: 0.21 U: 57.30 GLONASSL1: N: 0.63 E: -0.02 U: 64.43L2: N: 0.71 E: 0.21 U: 57.30 | L1GPS: N: 0.63 E: -0.02 U: 64.43GLONASS: N: 0.63 E: -0.02 U: 64.43 L2GPS: N: 0.71 E: 0.21 U: 57.30GLONASS: N: 0.71 E: 0.21 U: 57.30 |
Means
GPS
GLONASS
Azimuths
| Bias | Delta |
|---|---|
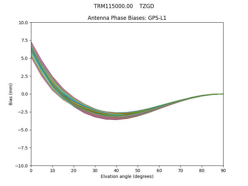
GPS-L1 | |
![]() | ![]() |
![]() | ![]() |
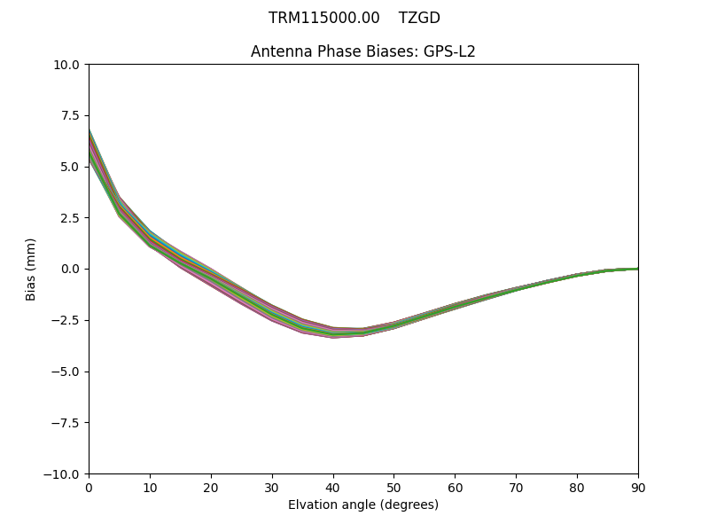
GPS-L2 | |
![]() | ![]() |
![]() | ![]() |
| Bias | Delta |
|---|---|
GLONASS-L1 | |
![]() | ![]() |
![]() | ![]() |
GLONASS-L2 | |
![]() | ![]() |
![]() | ![]() |















