Antenna information for TRM115000.10 NONE
| SV System | Bands |
|---|---|
GPSL1: N: 0.83 E: 0.05 U: 66.21L2: N: 0.76 E: 0.26 U: 57.68 GLONASSL1: N: 0.83 E: 0.05 U: 66.21L2: N: 0.76 E: 0.26 U: 57.68 | L1GPS: N: 0.83 E: 0.05 U: 66.21GLONASS: N: 0.83 E: 0.05 U: 66.21 L2GPS: N: 0.76 E: 0.26 U: 57.68GLONASS: N: 0.76 E: 0.26 U: 57.68 |
Means
GPS
GLONASS
Azimuths
| Bias | Delta |
|---|---|
GPS-L1 | |
![]() | ![]() |
![]() | ![]() |
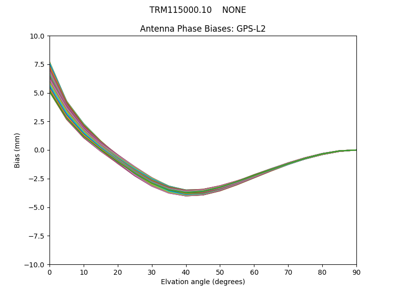
GPS-L2 | |
![]() | ![]() |
![]() | ![]() |
| Bias | Delta |
|---|---|
GLONASS-L1 | |
![]() | ![]() |
![]() | ![]() |
GLONASS-L2 | |
![]() | ![]() |
![]() | ![]() |















