Antenna information for ASH700936D_M SCIS
| SV System | Bands |
|---|---|
GPSL1: N: 0.20 E: 0.19 U: 88.05L2: N: -0.24 E: -0.02 U: 117.48 L5: N: -0.40 E: 0.05 U: 126.04 GLONASSL1: N: 0.42 E: 0.08 U: 86.97L2: N: -0.33 E: -0.06 U: 115.95 GALILEOE1: N: 0.20 E: 0.19 U: 88.05E5a: N: -0.40 E: 0.05 U: 126.04 E5b: N: -0.40 E: -0.05 U: 120.64 E5: N: -0.45 E: -0.04 U: 122.66 E6: N: -0.40 E: 0.04 U: 112.15 BeiDouE1: N: 0.20 E: 0.19 U: 88.05E2: N: 0.05 E: 0.08 U: 90.26 E5b: N: -0.40 E: -0.05 U: 120.64 E6: N: -0.43 E: 0.10 U: 113.68 QZSSL1: N: 0.20 E: 0.19 U: 88.05L2: N: -0.24 E: -0.02 U: 117.48 L5: N: -0.40 E: 0.05 U: 126.04 LEX: N: -0.40 E: 0.04 U: 112.15 IRNSSL5: N: -0.40 E: 0.05 U: 126.04SBASL1: N: 0.20 E: 0.19 U: 88.05L5: N: -0.40 E: 0.05 U: 126.04 | L1GPS: N: 0.20 E: 0.19 U: 88.05GLONASS: N: 0.42 E: 0.08 U: 86.97 QZSS: N: 0.20 E: 0.19 U: 88.05 SBAS: N: 0.20 E: 0.19 U: 88.05 L2GPS: N: -0.24 E: -0.02 U: 117.48GLONASS: N: -0.33 E: -0.06 U: 115.95 QZSS: N: -0.24 E: -0.02 U: 117.48 L5GPS: N: -0.40 E: 0.05 U: 126.04QZSS: N: -0.40 E: 0.05 U: 126.04 SBAS: N: -0.40 E: 0.05 U: 126.04 IRNSS: N: -0.40 E: 0.05 U: 126.04 E1GALILEO: N: 0.20 E: 0.19 U: 88.05BeiDou: N: 0.20 E: 0.19 U: 88.05 E2BeiDou: N: 0.05 E: 0.08 U: 90.26E5GALILEO: N: -0.45 E: -0.04 U: 122.66E5aGALILEO: N: -0.40 E: 0.05 U: 126.04E5bGALILEO: N: -0.40 E: -0.05 U: 120.64BeiDou: N: -0.40 E: -0.05 U: 120.64 E6GALILEO: N: -0.40 E: 0.04 U: 112.15BeiDou: N: -0.43 E: 0.10 U: 113.68 LEXQZSS: N: -0.40 E: 0.04 U: 112.15 |
Means
GPS
GLONASS
GALILEO
BeiDOU
QZSS
SBAS
IRNSS
Azimuths
| Bias | Delta |
|---|---|
GPS-L1 | |
![]() | ![]() |
![]() | ![]() |
GPS-L2 | |
![]() | ![]() |
![]() | ![]() |
GPS-L5 | |
![]() | ![]() |
![]() | ![]() |
| Bias | Delta |
|---|---|
GLONASS-L1 | |
![]() | ![]() |
![]() | ![]() |
GLONASS-L2 | |
![]() | ![]() |
![]() | ![]() |
| Bias | Delta |
|---|---|
GALILEO-E1 | |
![]() | ![]() |
![]() | ![]() |
GALILEO-E5a | |
![]() | ![]() |
![]() | ![]() |
GALILEO-E5b | |
![]() | ![]() |
![]() | ![]() |
GALILEO-E5 | |
![]() | ![]() |
![]() | ![]() |
GALILEO-E6 | |
![]() | ![]() |
![]() | ![]() |
| Bias | Delta |
|---|---|
BeiDOU-E1 | |
![]() | ![]() |
![]() | ![]() |
BeiDOU-E2 | |
![]() | ![]() |
![]() | ![]() |
BeiDOU-E5b | |
![]() | ![]() |
![]() | ![]() |
BeiDOU-E6 | |
![]() | ![]() |
![]() | ![]() |
| Bias | Delta |
|---|---|
QZSS-L1 | |
![]() | ![]() |
![]() | ![]() |
QZSS-L2 | |
![]() | ![]() |
![]() | ![]() |
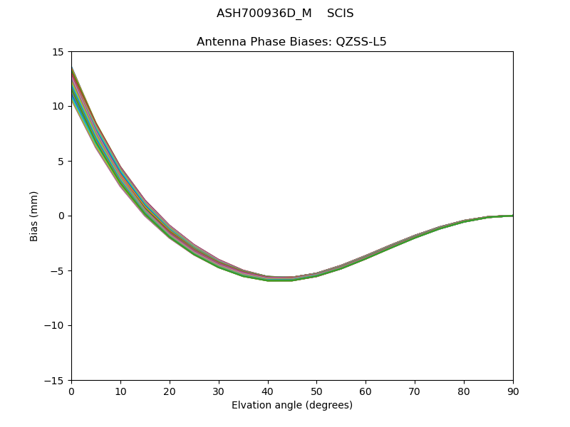
QZSS-L5 | |
![]() | ![]() |
![]() | ![]() |
| Bias | Delta |
|---|---|
SBAS-L1 | |
![]() | ![]() |
![]() | ![]() |
SBAS-L5 | |
![]() | ![]() |
![]() | ![]() |
| Bias | Delta |
|---|---|
IRNSS-L5 | |
![]() | ![]() |
![]() | ![]() |















































































