Antenna information for ASH701073.1 NONE
| SV System | Bands |
|---|---|
GPSL1: N: 0.53 E: 0.87 U: 89.59L2: N: -0.46 E: 1.58 U: 116.63 GLONASSL1: N: 0.52 E: 0.99 U: 89.04L2: N: -0.39 E: 1.50 U: 116.33 | L1GPS: N: 0.53 E: 0.87 U: 89.59GLONASS: N: 0.52 E: 0.99 U: 89.04 L2GPS: N: -0.46 E: 1.58 U: 116.63GLONASS: N: -0.39 E: 1.50 U: 116.33 |
Means
GPS
GLONASS
Azimuths
| Bias | Delta |
|---|---|
GPS-L1 | |
![]() | ![]() |
![]() | ![]() |
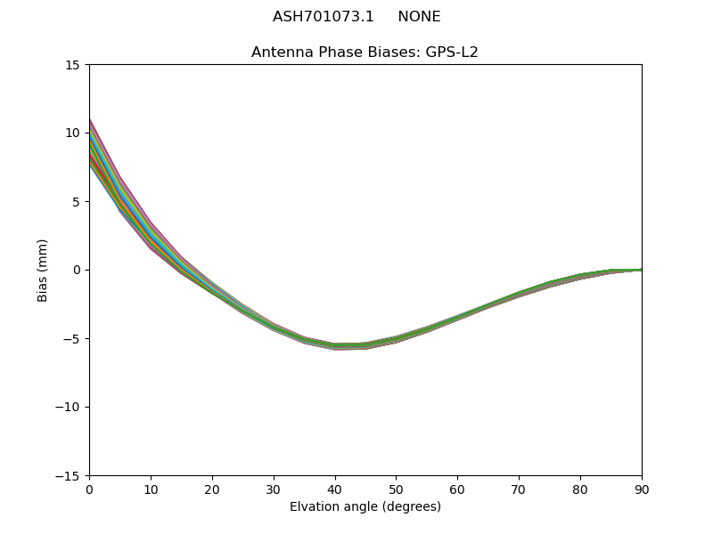
GPS-L2 | |
![]() | ![]() |
![]() | ![]() |
| Bias | Delta |
|---|---|
GLONASS-L1 | |
![]() | ![]() |
![]() | ![]() |
GLONASS-L2 | |
![]() | ![]() |
![]() | ![]() |















