Antenna information for ASH701945E_M NONE
| SV System | Bands |
|---|---|
GPSL1: N: 0.54 E: -0.99 U: 90.21L2: N: 1.44 E: 0.26 U: 118.98 L5: N: 0.52 E: -0.04 U: 122.68 GLONASSL1: N: 0.78 E: -0.84 U: 89.08L2: N: 1.21 E: 0.93 U: 116.38 GALILEOE1: N: 0.54 E: -0.99 U: 90.21E5a: N: 0.52 E: -0.04 U: 122.68 BeiDouE1: N: 0.54 E: -0.99 U: 90.21QZSSL1: N: 0.54 E: -0.99 U: 90.21L2: N: 1.44 E: 0.26 U: 118.98 L5: N: 0.52 E: -0.04 U: 122.68 IRNSSL5: N: 0.52 E: -0.04 U: 122.68SBASL1: N: 0.54 E: -0.99 U: 90.21L5: N: 0.52 E: -0.04 U: 122.68 | L1GPS: N: 0.54 E: -0.99 U: 90.21GLONASS: N: 0.78 E: -0.84 U: 89.08 QZSS: N: 0.54 E: -0.99 U: 90.21 SBAS: N: 0.54 E: -0.99 U: 90.21 L2GPS: N: 1.44 E: 0.26 U: 118.98GLONASS: N: 1.21 E: 0.93 U: 116.38 QZSS: N: 1.44 E: 0.26 U: 118.98 L5GPS: N: 0.52 E: -0.04 U: 122.68QZSS: N: 0.52 E: -0.04 U: 122.68 SBAS: N: 0.52 E: -0.04 U: 122.68 IRNSS: N: 0.52 E: -0.04 U: 122.68 E1GALILEO: N: 0.54 E: -0.99 U: 90.21BeiDou: N: 0.54 E: -0.99 U: 90.21 E5aGALILEO: N: 0.52 E: -0.04 U: 122.68 |
Means
GPS
GLONASS
GALILEO
BeiDOU
QZSS
SBAS
IRNSS
Azimuths
| Bias | Delta |
|---|---|
GPS-L1 | |
![]() | ![]() |
![]() | ![]() |
GPS-L2 | |
![]() | ![]() |
![]() | ![]() |
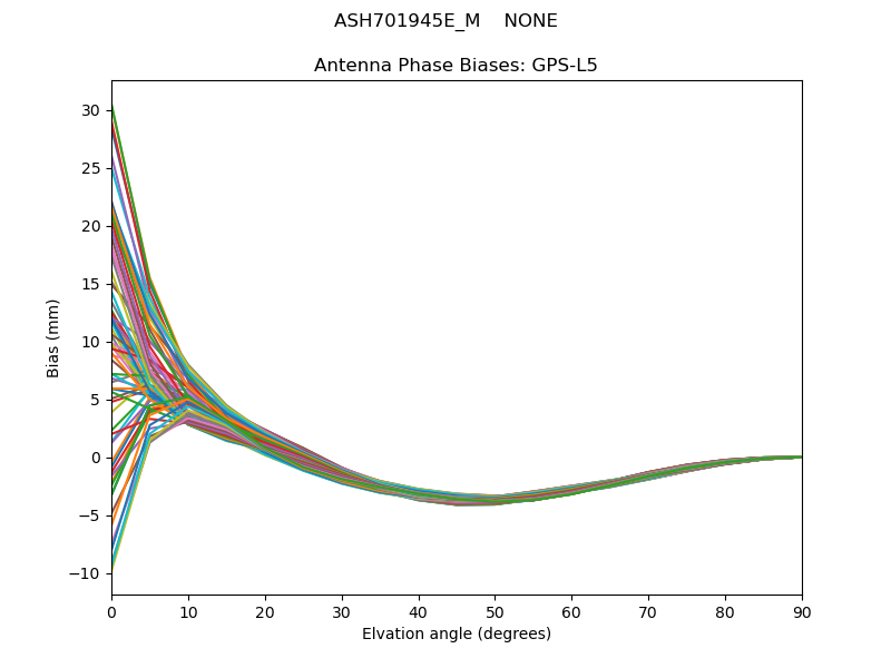
GPS-L5 | |
![]() | ![]() |
![]() | ![]() |
| Bias | Delta |
|---|---|
GLONASS-L1 | |
![]() | ![]() |
![]() | ![]() |
GLONASS-L2 | |
![]() | ![]() |
![]() | ![]() |
| Bias | Delta |
|---|---|
GALILEO-E1 | |
![]() | ![]() |
![]() | ![]() |
GALILEO-E5a | |
![]() | ![]() |
![]() | ![]() |
| Bias | Delta |
|---|---|
BeiDOU-E1 | |
![]() | ![]() |
![]() | ![]() |
| Bias | Delta |
|---|---|
QZSS-L1 | |
![]() | ![]() |
![]() | ![]() |
QZSS-L2 | |
![]() | ![]() |
![]() | ![]() |
QZSS-L5 | |
![]() | ![]() |
![]() | ![]() |
| Bias | Delta |
|---|---|
SBAS-L1 | |
![]() | ![]() |
![]() | ![]() |
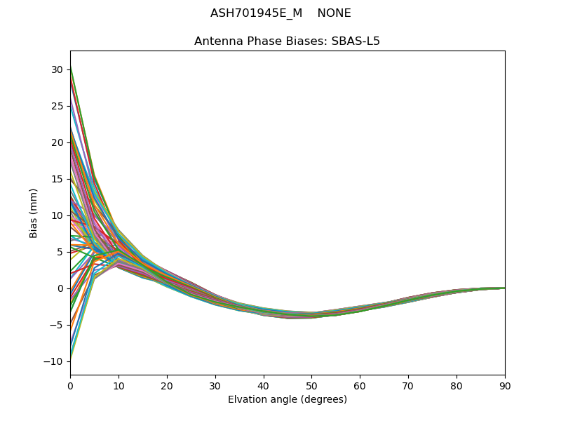
SBAS-L5 | |
![]() | ![]() |
![]() | ![]() |
| Bias | Delta |
|---|---|
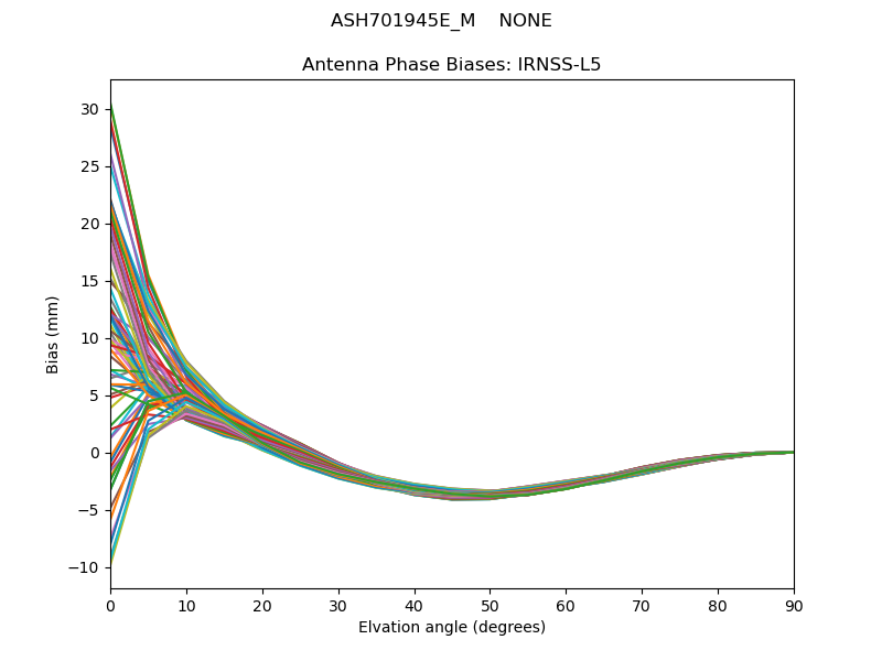
IRNSS-L5 | |
![]() | ![]() |
![]() | ![]() |























































