Antenna information for ASH701946.2 NONE

Antenna Offsets
SV System Bands

GPS

L1: N: 0.61 E: -0.55 U: 89.19
L2: N: -0.38 E: 0.20 U: 120.00

L1

GPS: N: 0.61 E: -0.55 U: 89.19

L2

GPS: N: -0.38 E: 0.20 U: 120.00


Means

GPS

ASH701946.2_____NONE.GPS.MEAN.png

Azimuths

GPS


Bias Delta

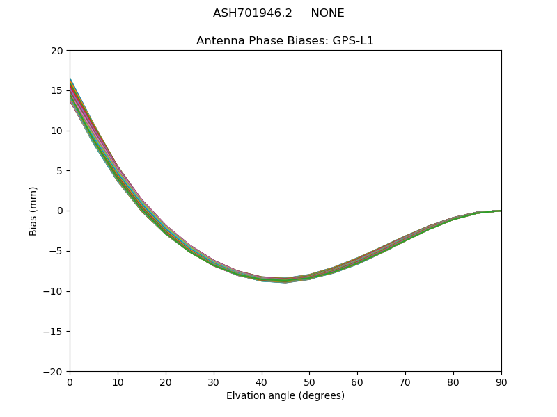
GPS-L1

GPS-L1GPS-L1
Radial GPS-L1Radial GPS-L1

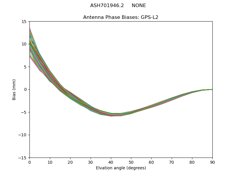
GPS-L2

GPS-L2GPS-L2
Radial GPS-L2Radial GPS-L2