Antenna information for LEIAR20 LEIM
| SV System | Bands |
|---|---|
GPSL1: N: 0.50 E: 0.13 U: 124.88L2: N: 0.13 E: -0.22 U: 133.51 L5: N: 0.08 E: 0.03 U: 143.78 GLONASSL1: N: 0.46 E: 0.07 U: 121.89L2: N: 0.06 E: -0.38 U: 129.52 GALILEOE1: N: 0.50 E: 0.13 U: 124.88E5a: N: 0.08 E: 0.03 U: 143.78 E5b: N: 0.07 E: -0.06 U: 137.05 E5: N: 0.11 E: 0.06 U: 140.55 E6: N: 0.01 E: -0.04 U: 122.82 BeiDouE1: N: 0.50 E: 0.13 U: 124.88E2: N: 0.58 E: 0.02 U: 127.46 E5b: N: 0.07 E: -0.06 U: 137.05 E6: N: 0.17 E: -0.23 U: 125.06 QZSSL1: N: 0.50 E: 0.13 U: 124.88L2: N: 0.13 E: -0.22 U: 133.51 L5: N: 0.08 E: 0.03 U: 143.78 LEX: N: 0.01 E: -0.04 U: 122.82 IRNSSL5: N: 0.08 E: 0.03 U: 143.78SBASL1: N: 0.50 E: 0.13 U: 124.88L5: N: 0.08 E: 0.03 U: 143.78 | L1GPS: N: 0.50 E: 0.13 U: 124.88GLONASS: N: 0.46 E: 0.07 U: 121.89 QZSS: N: 0.50 E: 0.13 U: 124.88 SBAS: N: 0.50 E: 0.13 U: 124.88 L2GPS: N: 0.13 E: -0.22 U: 133.51GLONASS: N: 0.06 E: -0.38 U: 129.52 QZSS: N: 0.13 E: -0.22 U: 133.51 L5GPS: N: 0.08 E: 0.03 U: 143.78QZSS: N: 0.08 E: 0.03 U: 143.78 SBAS: N: 0.08 E: 0.03 U: 143.78 IRNSS: N: 0.08 E: 0.03 U: 143.78 E1GALILEO: N: 0.50 E: 0.13 U: 124.88BeiDou: N: 0.50 E: 0.13 U: 124.88 E2BeiDou: N: 0.58 E: 0.02 U: 127.46E5GALILEO: N: 0.11 E: 0.06 U: 140.55E5aGALILEO: N: 0.08 E: 0.03 U: 143.78E5bGALILEO: N: 0.07 E: -0.06 U: 137.05BeiDou: N: 0.07 E: -0.06 U: 137.05 E6GALILEO: N: 0.01 E: -0.04 U: 122.82BeiDou: N: 0.17 E: -0.23 U: 125.06 LEXQZSS: N: 0.01 E: -0.04 U: 122.82 |
Means
GPS
GLONASS
GALILEO
BeiDOU
QZSS
SBAS
IRNSS
Azimuths
| Bias | Delta |
|---|---|
GPS-L1 | |
![]() | ![]() |
![]() | ![]() |
GPS-L2 | |
![]() | ![]() |
![]() | ![]() |
GPS-L5 | |
![]() | ![]() |
![]() | ![]() |
| Bias | Delta |
|---|---|
GLONASS-L1 | |
![]() | ![]() |
![]() | ![]() |
GLONASS-L2 | |
![]() | ![]() |
![]() | ![]() |
| Bias | Delta |
|---|---|
GALILEO-E1 | |
![]() | ![]() |
![]() | ![]() |
GALILEO-E5a | |
![]() | ![]() |
![]() | ![]() |
GALILEO-E5b | |
![]() | ![]() |
![]() | ![]() |
GALILEO-E5 | |
![]() | ![]() |
![]() | ![]() |
GALILEO-E6 | |
![]() | ![]() |
![]() | ![]() |
| Bias | Delta |
|---|---|
BeiDOU-E1 | |
![]() | ![]() |
![]() | ![]() |
BeiDOU-E2 | |
![]() | ![]() |
![]() | ![]() |
BeiDOU-E5b | |
![]() | ![]() |
![]() | ![]() |
BeiDOU-E6 | |
![]() | ![]() |
![]() | ![]() |
| Bias | Delta |
|---|---|
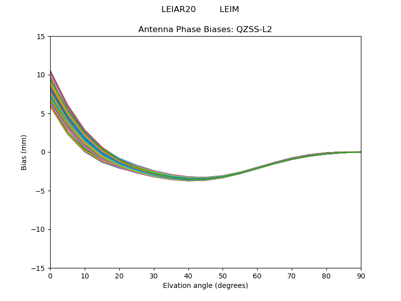
QZSS-L1 | |
![]() | ![]() |
![]() | ![]() |
QZSS-L2 | |
![]() | ![]() |
![]() | ![]() |
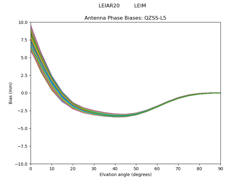
QZSS-L5 | |
![]() | ![]() |
![]() | ![]() |
| Bias | Delta |
|---|---|
SBAS-L1 | |
![]() | ![]() |
![]() | ![]() |
SBAS-L5 | |
![]() | ![]() |
![]() | ![]() |
| Bias | Delta |
|---|---|
IRNSS-L5 | |
![]() | ![]() |
![]() | ![]() |















































































