Antenna information for RNG80971.00 NONE
| SV System | Bands |
|---|---|
GPSL1: N: 0.77 E: 0.32 U: 64.24L2: N: -0.12 E: 1.10 U: 58.27 L5: N: 0.08 E: 0.22 U: 59.66 GLONASSL1: N: 0.70 E: 0.35 U: 62.96L2: N: -0.41 E: 1.20 U: 57.85 GALILEOE1: N: 0.77 E: 0.32 U: 64.24E5a: N: 0.08 E: 0.22 U: 59.66 E5b: N: -0.05 E: 0.77 U: 58.35 E5: N: 0.10 E: 0.56 U: 59.72 E6: N: -0.41 E: 1.55 U: 57.43 BeiDouE1: N: 0.77 E: 0.32 U: 64.24E2: N: 0.98 E: 0.11 U: 65.35 E5b: N: -0.05 E: 0.77 U: 58.35 E6: N: -0.50 E: 1.43 U: 56.45 QZSSL1: N: 0.77 E: 0.32 U: 64.24L2: N: -0.12 E: 1.10 U: 58.27 L5: N: 0.08 E: 0.22 U: 59.66 LEX: N: -0.41 E: 1.55 U: 57.43 IRNSSL5: N: 0.08 E: 0.22 U: 59.66SBASL1: N: 0.77 E: 0.32 U: 64.24L5: N: 0.08 E: 0.22 U: 59.66 | L1GPS: N: 0.77 E: 0.32 U: 64.24GLONASS: N: 0.70 E: 0.35 U: 62.96 QZSS: N: 0.77 E: 0.32 U: 64.24 SBAS: N: 0.77 E: 0.32 U: 64.24 L2GPS: N: -0.12 E: 1.10 U: 58.27GLONASS: N: -0.41 E: 1.20 U: 57.85 QZSS: N: -0.12 E: 1.10 U: 58.27 L5GPS: N: 0.08 E: 0.22 U: 59.66QZSS: N: 0.08 E: 0.22 U: 59.66 SBAS: N: 0.08 E: 0.22 U: 59.66 IRNSS: N: 0.08 E: 0.22 U: 59.66 E1GALILEO: N: 0.77 E: 0.32 U: 64.24BeiDou: N: 0.77 E: 0.32 U: 64.24 E2BeiDou: N: 0.98 E: 0.11 U: 65.35E5GALILEO: N: 0.10 E: 0.56 U: 59.72E5aGALILEO: N: 0.08 E: 0.22 U: 59.66E5bGALILEO: N: -0.05 E: 0.77 U: 58.35BeiDou: N: -0.05 E: 0.77 U: 58.35 E6GALILEO: N: -0.41 E: 1.55 U: 57.43BeiDou: N: -0.50 E: 1.43 U: 56.45 LEXQZSS: N: -0.41 E: 1.55 U: 57.43 |
Means
GPS
GLONASS
GALILEO
BeiDOU
QZSS
SBAS
IRNSS
Azimuths
| Bias | Delta |
|---|---|
GPS-L1 | |
![]() | ![]() |
![]() | ![]() |
GPS-L2 | |
![]() | ![]() |
![]() | ![]() |
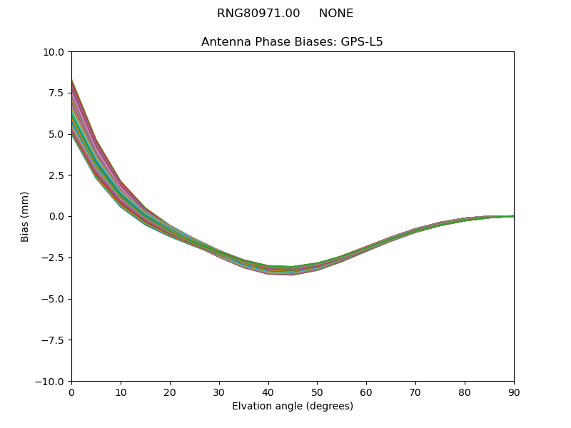
GPS-L5 | |
![]() | ![]() |
![]() | ![]() |
| Bias | Delta |
|---|---|
GLONASS-L1 | |
![]() | ![]() |
![]() | ![]() |
GLONASS-L2 | |
![]() | ![]() |
![]() | ![]() |
| Bias | Delta |
|---|---|
GALILEO-E1 | |
![]() | ![]() |
![]() | ![]() |
GALILEO-E5a | |
![]() | ![]() |
![]() | ![]() |
GALILEO-E5b | |
![]() | ![]() |
![]() | ![]() |
GALILEO-E5 | |
![]() | ![]() |
![]() | ![]() |
GALILEO-E6 | |
![]() | ![]() |
![]() | ![]() |
| Bias | Delta |
|---|---|
BeiDOU-E1 | |
![]() | ![]() |
![]() | ![]() |
BeiDOU-E2 | |
![]() | ![]() |
![]() | ![]() |
BeiDOU-E5b | |
![]() | ![]() |
![]() | ![]() |
BeiDOU-E6 | |
![]() | ![]() |
![]() | ![]() |
| Bias | Delta |
|---|---|
QZSS-L1 | |
![]() | ![]() |
![]() | ![]() |
QZSS-L2 | |
![]() | ![]() |
![]() | ![]() |
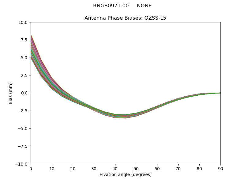
QZSS-L5 | |
![]() | ![]() |
![]() | ![]() |
| Bias | Delta |
|---|---|
SBAS-L1 | |
![]() | ![]() |
![]() | ![]() |
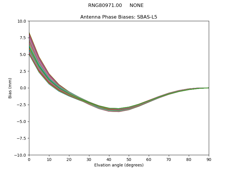
SBAS-L5 | |
![]() | ![]() |
![]() | ![]() |
| Bias | Delta |
|---|---|
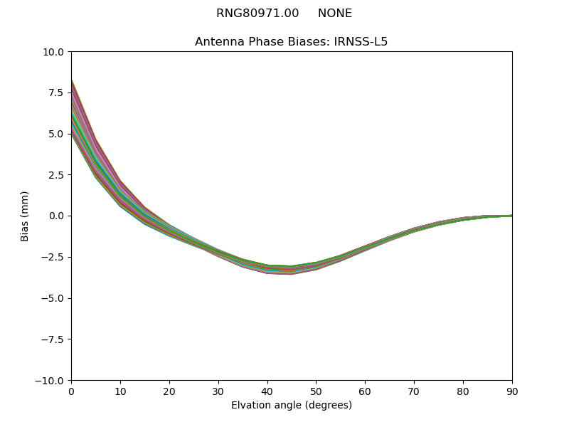
IRNSS-L5 | |
![]() | ![]() |
![]() | ![]() |















































































