Antenna information for SEPVC6150L NONE
| SV System | Bands |
|---|---|
GPSL1: N: 0.95 E: 1.09 U: 127.71L2: N: 0.05 E: 0.09 U: 137.67 L5: N: -0.13 E: -0.04 U: 141.80 GLONASSL1: N: 1.07 E: 1.15 U: 127.55L2: N: 0.05 E: 0.18 U: 136.73 GALILEOE1: N: 0.95 E: 1.09 U: 127.71E5a: N: -0.13 E: -0.04 U: 141.80 E5b: N: 0.01 E: 0.02 U: 139.07 E5: N: -0.05 E: -0.02 U: 140.37 E6: N: -0.03 E: 0.38 U: 135.62 BeiDouE1: N: 0.95 E: 1.09 U: 127.71E2: N: 0.89 E: 1.07 U: 127.80 E5b: N: 0.01 E: 0.02 U: 139.07 E6: N: 0.01 E: 0.31 U: 135.92 QZSSL1: N: 0.95 E: 1.09 U: 127.71L2: N: 0.05 E: 0.09 U: 137.67 L5: N: -0.13 E: -0.04 U: 141.80 LEX: N: -0.03 E: 0.38 U: 135.62 IRNSSL5: N: -0.13 E: -0.04 U: 141.80SBASL1: N: 0.95 E: 1.09 U: 127.71L5: N: -0.13 E: -0.04 U: 141.80 | L1GPS: N: 0.95 E: 1.09 U: 127.71GLONASS: N: 1.07 E: 1.15 U: 127.55 QZSS: N: 0.95 E: 1.09 U: 127.71 SBAS: N: 0.95 E: 1.09 U: 127.71 L2GPS: N: 0.05 E: 0.09 U: 137.67GLONASS: N: 0.05 E: 0.18 U: 136.73 QZSS: N: 0.05 E: 0.09 U: 137.67 L5GPS: N: -0.13 E: -0.04 U: 141.80QZSS: N: -0.13 E: -0.04 U: 141.80 SBAS: N: -0.13 E: -0.04 U: 141.80 IRNSS: N: -0.13 E: -0.04 U: 141.80 E1GALILEO: N: 0.95 E: 1.09 U: 127.71BeiDou: N: 0.95 E: 1.09 U: 127.71 E2BeiDou: N: 0.89 E: 1.07 U: 127.80E5GALILEO: N: -0.05 E: -0.02 U: 140.37E5aGALILEO: N: -0.13 E: -0.04 U: 141.80E5bGALILEO: N: 0.01 E: 0.02 U: 139.07BeiDou: N: 0.01 E: 0.02 U: 139.07 E6GALILEO: N: -0.03 E: 0.38 U: 135.62BeiDou: N: 0.01 E: 0.31 U: 135.92 LEXQZSS: N: -0.03 E: 0.38 U: 135.62 |
Means
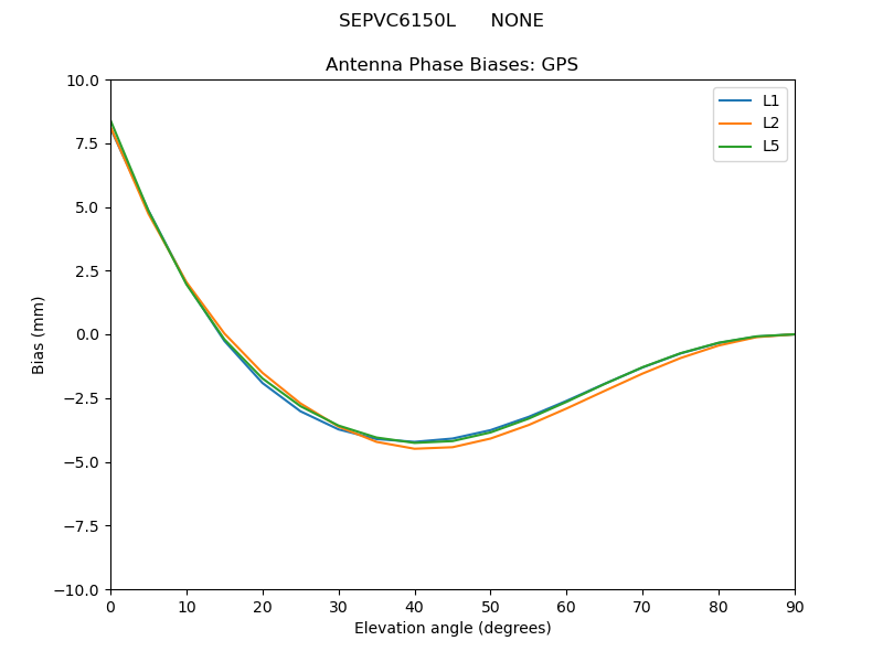
GPS
GLONASS
GALILEO
BeiDOU
QZSS
SBAS
IRNSS
Azimuths
| Bias | Delta |
|---|---|
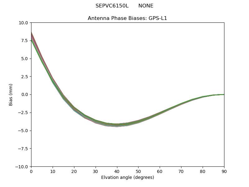
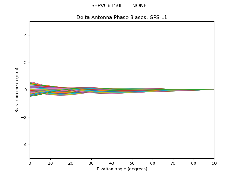
GPS-L1 | |
![]() | ![]() |
![]() | ![]() |
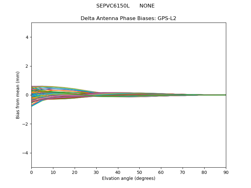
GPS-L2 | |
![]() | ![]() |
![]() | ![]() |
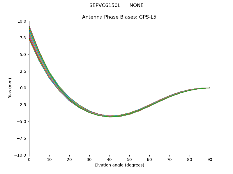
GPS-L5 | |
![]() | ![]() |
![]() | ![]() |
| Bias | Delta |
|---|---|
GLONASS-L1 | |
![]() | ![]() |
![]() | ![]() |
GLONASS-L2 | |
![]() | ![]() |
![]() | ![]() |
| Bias | Delta |
|---|---|
GALILEO-E1 | |
![]() | ![]() |
![]() | ![]() |
GALILEO-E5a | |
![]() | ![]() |
![]() | ![]() |
GALILEO-E5b | |
![]() | ![]() |
![]() | ![]() |
GALILEO-E5 | |
![]() | ![]() |
![]() | ![]() |
GALILEO-E6 | |
![]() | ![]() |
![]() | ![]() |
| Bias | Delta |
|---|---|
BeiDOU-E1 | |
![]() | ![]() |
![]() | ![]() |
BeiDOU-E2 | |
![]() | ![]() |
![]() | ![]() |
BeiDOU-E5b | |
![]() | ![]() |
![]() | ![]() |
BeiDOU-E6 | |
![]() | ![]() |
![]() | ![]() |
| Bias | Delta |
|---|---|
QZSS-L1 | |
![]() | ![]() |
![]() | ![]() |
QZSS-L2 | |
![]() | ![]() |
![]() | ![]() |
QZSS-L5 | |
![]() | ![]() |
![]() | ![]() |
| Bias | Delta |
|---|---|
SBAS-L1 | |
![]() | ![]() |
![]() | ![]() |
SBAS-L5 | |
![]() | ![]() |
![]() | ![]() |
| Bias | Delta |
|---|---|
IRNSS-L5 | |
![]() | ![]() |
![]() | ![]() |















































































