Antenna information for TRM55971.00 NONE
| SV System | Bands |
|---|---|
GPSL1: N: 0.85 E: 0.34 U: 64.19L2: N: 0.30 E: 0.67 U: 58.36 L5: N: 0.43 E: -0.26 U: 59.83 GLONASSL1: N: 0.67 E: 0.12 U: 62.97L2: N: 0.26 E: 0.91 U: 58.00 GALILEOE1: N: 0.85 E: 0.34 U: 64.19E5a: N: 0.43 E: -0.26 U: 59.83 E5b: N: 0.35 E: 0.34 U: 58.88 E5: N: 0.39 E: 0.06 U: 59.34 E6: N: 0.21 E: 1.23 U: 57.48 BeiDouE1: N: 0.85 E: 0.34 U: 64.19E2: N: 0.95 E: 0.45 U: 64.86 E5b: N: 0.35 E: 0.34 U: 58.88 E6: N: 0.22 E: 1.15 U: 57.65 QZSSL1: N: 0.85 E: 0.34 U: 64.19L2: N: 0.30 E: 0.67 U: 58.36 L5: N: 0.43 E: -0.26 U: 59.83 LEX: N: 0.21 E: 1.23 U: 57.48 IRNSSL5: N: 0.43 E: -0.26 U: 59.83SBASL1: N: 0.85 E: 0.34 U: 64.19L5: N: 0.43 E: -0.26 U: 59.83 | L1GPS: N: 0.85 E: 0.34 U: 64.19GLONASS: N: 0.67 E: 0.12 U: 62.97 QZSS: N: 0.85 E: 0.34 U: 64.19 SBAS: N: 0.85 E: 0.34 U: 64.19 L2GPS: N: 0.30 E: 0.67 U: 58.36GLONASS: N: 0.26 E: 0.91 U: 58.00 QZSS: N: 0.30 E: 0.67 U: 58.36 L5GPS: N: 0.43 E: -0.26 U: 59.83QZSS: N: 0.43 E: -0.26 U: 59.83 SBAS: N: 0.43 E: -0.26 U: 59.83 IRNSS: N: 0.43 E: -0.26 U: 59.83 E1GALILEO: N: 0.85 E: 0.34 U: 64.19BeiDou: N: 0.85 E: 0.34 U: 64.19 E2BeiDou: N: 0.95 E: 0.45 U: 64.86E5GALILEO: N: 0.39 E: 0.06 U: 59.34E5aGALILEO: N: 0.43 E: -0.26 U: 59.83E5bGALILEO: N: 0.35 E: 0.34 U: 58.88BeiDou: N: 0.35 E: 0.34 U: 58.88 E6GALILEO: N: 0.21 E: 1.23 U: 57.48BeiDou: N: 0.22 E: 1.15 U: 57.65 LEXQZSS: N: 0.21 E: 1.23 U: 57.48 |
Means
GPS
GLONASS
GALILEO
BeiDOU
QZSS
SBAS
IRNSS
Azimuths
| Bias | Delta |
|---|---|
GPS-L1 | |
![]() | ![]() |
![]() | ![]() |
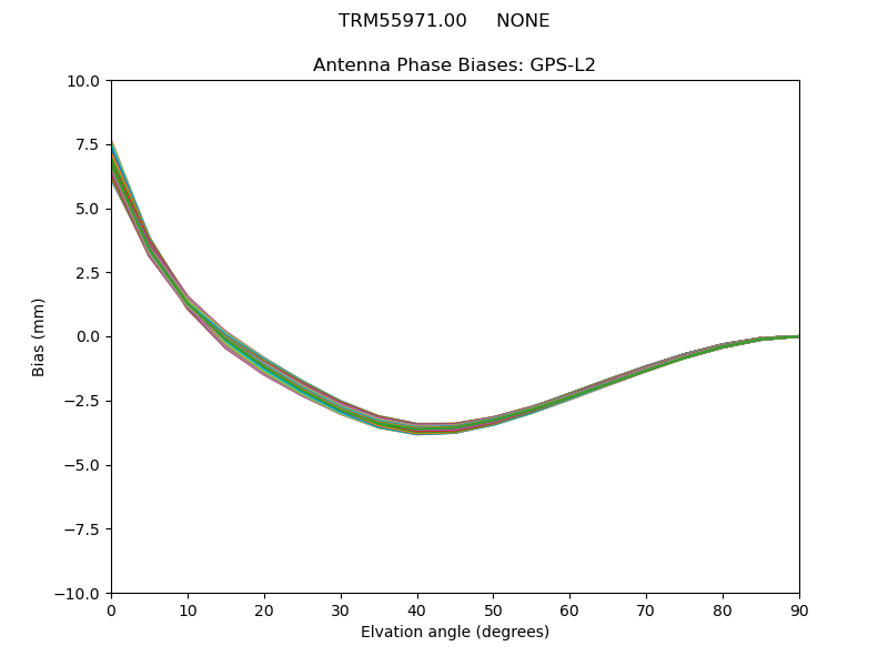
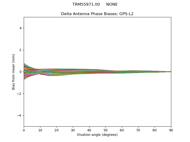
GPS-L2 | |
![]() | ![]() |
![]() | ![]() |
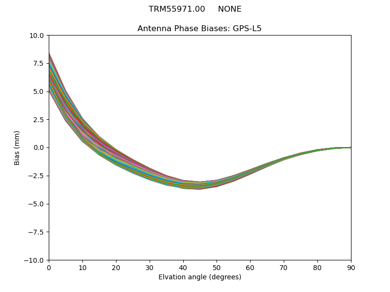
GPS-L5 | |
![]() | ![]() |
![]() | ![]() |
| Bias | Delta |
|---|---|
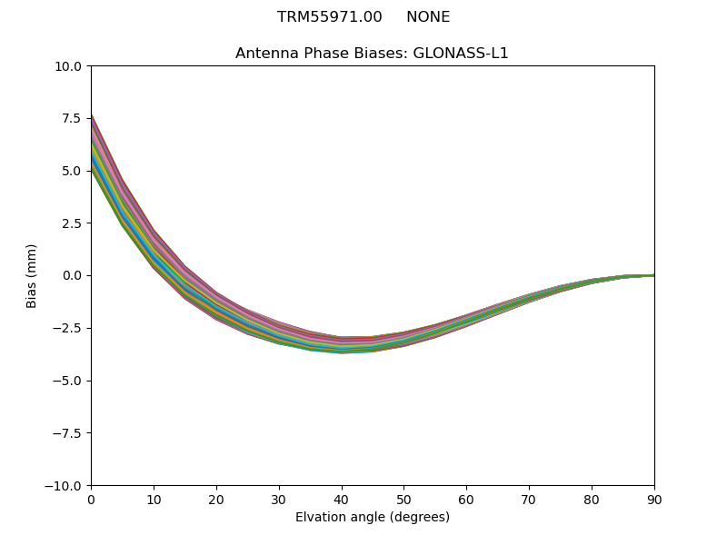
GLONASS-L1 | |
![]() | ![]() |
![]() | ![]() |
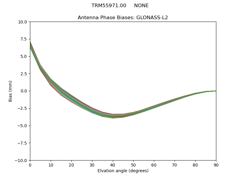
GLONASS-L2 | |
![]() | ![]() |
![]() | ![]() |
| Bias | Delta |
|---|---|
GALILEO-E1 | |
![]() | ![]() |
![]() | ![]() |
GALILEO-E5a | |
![]() | ![]() |
![]() | ![]() |
GALILEO-E5b | |
![]() | ![]() |
![]() | ![]() |
GALILEO-E5 | |
![]() | ![]() |
![]() | ![]() |
GALILEO-E6 | |
![]() | ![]() |
![]() | ![]() |
| Bias | Delta |
|---|---|
BeiDOU-E1 | |
![]() | ![]() |
![]() | ![]() |
BeiDOU-E2 | |
![]() | ![]() |
![]() | ![]() |
BeiDOU-E5b | |
![]() | ![]() |
![]() | ![]() |
BeiDOU-E6 | |
![]() | ![]() |
![]() | ![]() |
| Bias | Delta |
|---|---|
QZSS-L1 | |
![]() | ![]() |
![]() | ![]() |
QZSS-L2 | |
![]() | ![]() |
![]() | ![]() |
QZSS-L5 | |
![]() | ![]() |
![]() | ![]() |
| Bias | Delta |
|---|---|
SBAS-L1 | |
![]() | ![]() |
![]() | ![]() |
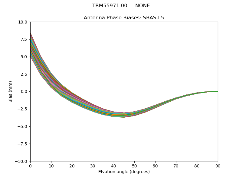
SBAS-L5 | |
![]() | ![]() |
![]() | ![]() |
| Bias | Delta |
|---|---|
IRNSS-L5 | |
![]() | ![]() |
![]() | ![]() |















































































