Antenna information for SEPVC6150L NONE

Antenna Offsets
SV System Bands

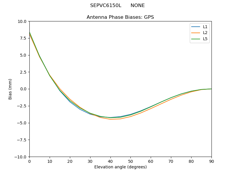
GPS

L1: N: 0.95 E: 1.09 U: 127.71
L2: N: 0.05 E: 0.09 U: 137.67
L5: N: -0.13 E: -0.04 U: 141.80

GLONASS

L1: N: 1.07 E: 1.15 U: 127.55
L2: N: 0.05 E: 0.18 U: 136.73

GALILEO

E1: N: 0.95 E: 1.09 U: 127.71
E5a: N: -0.13 E: -0.04 U: 141.80
E5b: N: 0.01 E: 0.02 U: 139.07
E5: N: -0.05 E: -0.02 U: 140.37
E6: N: -0.03 E: 0.38 U: 135.62

BeiDou

E1: N: 0.95 E: 1.09 U: 127.71
E2: N: 0.89 E: 1.07 U: 127.80
E5b: N: 0.01 E: 0.02 U: 139.07
E6: N: 0.01 E: 0.31 U: 135.92

QZSS

L1: N: 0.95 E: 1.09 U: 127.71
L2: N: 0.05 E: 0.09 U: 137.67
L5: N: -0.13 E: -0.04 U: 141.80
LEX: N: -0.03 E: 0.38 U: 135.62

IRNSS

L5: N: -0.13 E: -0.04 U: 141.80

SBAS

L1: N: 0.95 E: 1.09 U: 127.71
L5: N: -0.13 E: -0.04 U: 141.80

L1

GPS: N: 0.95 E: 1.09 U: 127.71
GLONASS: N: 1.07 E: 1.15 U: 127.55
QZSS: N: 0.95 E: 1.09 U: 127.71
SBAS: N: 0.95 E: 1.09 U: 127.71

L2

GPS: N: 0.05 E: 0.09 U: 137.67
GLONASS: N: 0.05 E: 0.18 U: 136.73
QZSS: N: 0.05 E: 0.09 U: 137.67

L5

GPS: N: -0.13 E: -0.04 U: 141.80
QZSS: N: -0.13 E: -0.04 U: 141.80
SBAS: N: -0.13 E: -0.04 U: 141.80
IRNSS: N: -0.13 E: -0.04 U: 141.80

E1

GALILEO: N: 0.95 E: 1.09 U: 127.71
BeiDou: N: 0.95 E: 1.09 U: 127.71

E2

BeiDou: N: 0.89 E: 1.07 U: 127.80

E5

GALILEO: N: -0.05 E: -0.02 U: 140.37

E5a

GALILEO: N: -0.13 E: -0.04 U: 141.80

E5b

GALILEO: N: 0.01 E: 0.02 U: 139.07
BeiDou: N: 0.01 E: 0.02 U: 139.07

E6

GALILEO: N: -0.03 E: 0.38 U: 135.62
BeiDou: N: 0.01 E: 0.31 U: 135.92

LEX

QZSS: N: -0.03 E: 0.38 U: 135.62


Means

GPS

SEPVC6150L______NONE.GPS.MEAN.png

GLONASS

SEPVC6150L______NONE.GLONASS.MEAN.png

GALILEO

SEPVC6150L______NONE.GALILEO.MEAN.png

BeiDOU

SEPVC6150L______NONE.BeiDOU.MEAN.png

QZSS

SEPVC6150L______NONE.QZSS.MEAN.png

SBAS

SEPVC6150L______NONE.SBAS.MEAN.png

IRNSS

SEPVC6150L______NONE.IRNSS.MEAN.png

Azimuths

GPS


Bias Delta

GPS-L1

GPS-L1GPS-L1
Radial GPS-L1Radial GPS-L1

GPS-L2

GPS-L2GPS-L2
Radial GPS-L2Radial GPS-L2

GPS-L5

GPS-L5GPS-L5
Radial GPS-L5Radial GPS-L5

GLONASS


Bias Delta

GLONASS-L1

GLONASS-L1GLONASS-L1
Radial GLONASS-L1Radial GLONASS-L1

GLONASS-L2

GLONASS-L2GLONASS-L2
Radial GLONASS-L2Radial GLONASS-L2

GALILEO


Bias Delta

GALILEO-E1

GALILEO-E1GALILEO-E1
Radial GALILEO-E1Radial GALILEO-E1

GALILEO-E5a

GALILEO-E5aGALILEO-E5a
Radial GALILEO-E5aRadial GALILEO-E5a

GALILEO-E5b

GALILEO-E5bGALILEO-E5b
Radial GALILEO-E5bRadial GALILEO-E5b

GALILEO-E5

GALILEO-E5GALILEO-E5
Radial GALILEO-E5Radial GALILEO-E5

GALILEO-E6

GALILEO-E6GALILEO-E6
Radial GALILEO-E6Radial GALILEO-E6

BeiDOU


Bias Delta

BeiDOU-E1

BeiDOU-E1BeiDOU-E1
Radial BeiDOU-E1Radial BeiDOU-E1

BeiDOU-E2

BeiDOU-E2BeiDOU-E2
Radial BeiDOU-E2Radial BeiDOU-E2

BeiDOU-E5b

BeiDOU-E5bBeiDOU-E5b
Radial BeiDOU-E5bRadial BeiDOU-E5b

BeiDOU-E6

BeiDOU-E6BeiDOU-E6
Radial BeiDOU-E6Radial BeiDOU-E6

QZSS


Bias Delta

QZSS-L1

QZSS-L1QZSS-L1
Radial QZSS-L1Radial QZSS-L1

QZSS-L2

QZSS-L2QZSS-L2
Radial QZSS-L2Radial QZSS-L2

QZSS-L5

QZSS-L5QZSS-L5
Radial QZSS-L5Radial QZSS-L5

SBAS


Bias Delta

SBAS-L1

SBAS-L1SBAS-L1
Radial SBAS-L1Radial SBAS-L1

SBAS-L5

SBAS-L5SBAS-L5
Radial SBAS-L5Radial SBAS-L5

IRNSS


Bias Delta

IRNSS-L5

IRNSS-L5IRNSS-L5
Radial IRNSS-L5Radial IRNSS-L5