Antenna information for TPSCR.G3 SCIS
| SV System | Bands |
|---|---|
GPSL1: N: -0.38 E: 0.80 U: 84.23L2: N: -0.01 E: -0.26 U: 117.84 L5: N: -0.30 E: -0.43 U: 121.84 GLONASSL1: N: -0.41 E: 0.33 U: 83.62L2: N: -0.18 E: -0.17 U: 115.95 GALILEOE1: N: -0.38 E: 0.80 U: 84.23E5a: N: -0.30 E: -0.43 U: 121.84 E5b: N: 0.03 E: -0.08 U: 119.19 E5: N: -0.12 E: -0.23 U: 120.13 E6: N: -0.29 E: 0.04 U: 114.13 BeiDouE1: N: -0.38 E: 0.80 U: 84.23E2: N: -0.27 E: 0.86 U: 85.80 E5b: N: 0.03 E: -0.08 U: 119.19 E6: N: -0.28 E: -0.04 U: 115.48 QZSSL1: N: -0.38 E: 0.80 U: 84.23L2: N: -0.01 E: -0.26 U: 117.84 L5: N: -0.30 E: -0.43 U: 121.84 LEX: N: -0.29 E: 0.04 U: 114.13 IRNSSL5: N: -0.30 E: -0.43 U: 121.84SBASL1: N: -0.38 E: 0.80 U: 84.23L5: N: -0.30 E: -0.43 U: 121.84 | L1GPS: N: -0.38 E: 0.80 U: 84.23GLONASS: N: -0.41 E: 0.33 U: 83.62 QZSS: N: -0.38 E: 0.80 U: 84.23 SBAS: N: -0.38 E: 0.80 U: 84.23 L2GPS: N: -0.01 E: -0.26 U: 117.84GLONASS: N: -0.18 E: -0.17 U: 115.95 QZSS: N: -0.01 E: -0.26 U: 117.84 L5GPS: N: -0.30 E: -0.43 U: 121.84QZSS: N: -0.30 E: -0.43 U: 121.84 SBAS: N: -0.30 E: -0.43 U: 121.84 IRNSS: N: -0.30 E: -0.43 U: 121.84 E1GALILEO: N: -0.38 E: 0.80 U: 84.23BeiDou: N: -0.38 E: 0.80 U: 84.23 E2BeiDou: N: -0.27 E: 0.86 U: 85.80E5GALILEO: N: -0.12 E: -0.23 U: 120.13E5aGALILEO: N: -0.30 E: -0.43 U: 121.84E5bGALILEO: N: 0.03 E: -0.08 U: 119.19BeiDou: N: 0.03 E: -0.08 U: 119.19 E6GALILEO: N: -0.29 E: 0.04 U: 114.13BeiDou: N: -0.28 E: -0.04 U: 115.48 LEXQZSS: N: -0.29 E: 0.04 U: 114.13 |
Means
GPS
GLONASS
GALILEO
BeiDOU
QZSS
SBAS
IRNSS
Azimuths
| Bias | Delta |
|---|---|
GPS-L1 | |
![]() | ![]() |
![]() | ![]() |
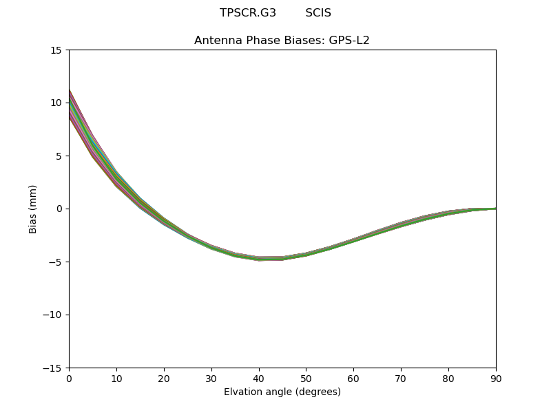
GPS-L2 | |
![]() | ![]() |
![]() | ![]() |
GPS-L5 | |
![]() | ![]() |
![]() | ![]() |
| Bias | Delta |
|---|---|
GLONASS-L1 | |
![]() | ![]() |
![]() | ![]() |
GLONASS-L2 | |
![]() | ![]() |
![]() | ![]() |
| Bias | Delta |
|---|---|
GALILEO-E1 | |
![]() | ![]() |
![]() | ![]() |
GALILEO-E5a | |
![]() | ![]() |
![]() | ![]() |
GALILEO-E5b | |
![]() | ![]() |
![]() | ![]() |
GALILEO-E5 | |
![]() | ![]() |
![]() | ![]() |
GALILEO-E6 | |
![]() | ![]() |
![]() | ![]() |
| Bias | Delta |
|---|---|
BeiDOU-E1 | |
![]() | ![]() |
![]() | ![]() |
BeiDOU-E2 | |
![]() | ![]() |
![]() | ![]() |
BeiDOU-E5b | |
![]() | ![]() |
![]() | ![]() |
BeiDOU-E6 | |
![]() | ![]() |
![]() | ![]() |
| Bias | Delta |
|---|---|
QZSS-L1 | |
![]() | ![]() |
![]() | ![]() |
QZSS-L2 | |
![]() | ![]() |
![]() | ![]() |
QZSS-L5 | |
![]() | ![]() |
![]() | ![]() |
| Bias | Delta |
|---|---|
SBAS-L1 | |
![]() | ![]() |
![]() | ![]() |
SBAS-L5 | |
![]() | ![]() |
![]() | ![]() |
| Bias | Delta |
|---|---|
IRNSS-L5 | |
![]() | ![]() |
![]() | ![]() |















































































