Antenna information for TRM41249.00 NONE

Antenna Offsets
SV System Bands

GPS

L1: N: 0.28 E: 0.49 U: 55.91
L2: N: 0.15 E: 0.46 U: 58.00

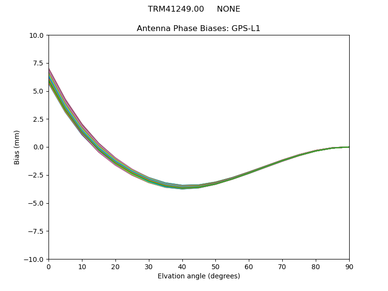
L1

GPS: N: 0.28 E: 0.49 U: 55.91

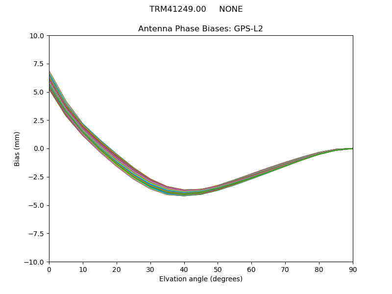
L2

GPS: N: 0.15 E: 0.46 U: 58.00


Means

GPS

TRM41249.00_____NONE.GPS.MEAN.png

Azimuths

GPS


Bias Delta

GPS-L1

GPS-L1GPS-L1
Radial GPS-L1Radial GPS-L1

GPS-L2

GPS-L2GPS-L2
Radial GPS-L2Radial GPS-L2